| 發文字號: 1 | 發文機關: 甘棠鎮 |
| 標 題: 甘政發〔2025〕5號 關于印發《甘棠鎮2025年稻谷生產者售糧補貼實施方案》的通知 | |
| 效力狀態: 有效 | 發文日期: 2025-07-17 17:21:43 |
甘政發〔2025〕5號
?
關于印發《甘棠鎮2025年稻谷生產者售糧補貼實施方案》的通知
?
各村(社區)、鎮直各相關單位:
經鎮人民政府同意,現將《甘棠鎮2025年稻谷生產者售糧補貼實施方案》印發給你們,請結合實際,認真組織實施。
?
?
賓陽縣甘棠鎮人民政府
??????????????????????????????2025年7月15日
(此件公開發布)
?
?
?
??????????????????????????????????????????????????????????
甘棠鎮黨政辦公室 ????????????????????2025年7月15日印發???
?
甘棠鎮2025年稻谷生產者售糧補貼實施方案
?
為支持深化稻谷收儲制度和價格形成機制改革,切實保障農民種糧收益基本穩定,根據國家在稻谷主產區實施稻谷目標價格補貼等政策精神,結合本鎮實際,制定實施方案。
一、總體要求
堅持以習近平新時代中國特色社會主義思想為指導,全面貫徹黨的二十大和二十屆二中、三中全會精神,認真貫徹落實習近平總書記關于國家糧食安全的重要論述和關于廣西工作論述的重要要求,全面落實糧食安全黨政同責,統籌實施好稻谷補貼政策,保障稻谷生產者基本收益,調動農民種糧積極性,實現農民增收、農業增效,確保不出現農民“賣糧難”問題,全面完成糧食儲備收購任務,持續增強糧食供給保障能力,保障國家糧食安全。
二、補貼資金的使用
(一)補貼資金來源和用途
中央財政下達的2025年目標價格補貼(稻谷)資金以及歷年結余資金等,該類補貼資金主要支持以下內容:
實施稻谷生產者售糧補貼。為增強政府對糧食市場宏觀調控能力,確保糧食安全黨政同責得到落實,同時為鼓勵和保護農民種糧積極性,確保稻谷生產者真正得到實惠,對交售糧食的稻谷生產者給予售糧補貼(以下簡稱稻谷生產者售糧補貼),以確保農民增收、農業增效。
(二)補貼對象和范圍
稻谷生產者售糧補貼對象。在實施稻谷補貼收購的村委從事稻谷生產,按照糧食收購計劃自主售糧或委托售糧給糧食收購企業的農戶、專業大戶、家庭農場、農民合作社、糧食產后服務中心、農業企業等種糧主體(以下簡稱“糧食生產經營者”)。
(三)補貼標準
?稻谷生產者售糧補貼標準:優質稻每公斤補貼0.36元。
(四)主要實施任務
糧食收購總量為優質稻?1300 噸(含專用稻)。
(五)補貼資金的下達和兌現
1.?補貼資金的下達。補貼資金由自治區財政廳根據業務主管部門的資金分配方案下達至我縣財政局。
2.?補貼資金的兌現。根據《廣西壯族自治區財政廳 廣西壯族自治區發展和改革委員會 廣西壯族自治區農業農村廳 廣西壯族自治區糧食和物資儲備局關于進一步加強目標價格補貼資金管理的通知》(桂財建〔2023〕69號)、《廣西壯族自治區財政廳 廣西壯族自治區農業農村廳等六部門關于印發廣西惠民惠農財政補貼資金“一卡通”發放管理辦法(試行)的通知》(桂財規〔2022〕7號)和《中共廣西壯族自治區紀委機關、廣西壯族自治區財政廳等八部門關于加快推進惠民惠農財政補貼資金“一卡通”管理工作的通知》(桂財監〔2022〕18號)等有關規定,按照“誰主管、誰負責”原則,應兌現的稻谷補貼資金,由縣財政部門將補貼資金從財政專戶核撥給糧食和儲備主管部門(代發金融機構“一卡通”虛擬賬戶)后,糧食和儲備主管部門會同財政部門根據國庫集中支付有關規定兌付給補貼對象,原則上通過廣西惠民惠農財政補貼資金“一卡通”管理系統(以下簡稱“一卡通”管理系統)發放,不允許現金兌付,嚴禁采取實物補貼方式發放資金。其中,發放給農民合作社、家庭農場、農業企業等單位的補貼要通過單位對公賬戶發放。具體詳見工作流程。
3.補貼資金發放時間要求。我鎮稻谷生產者售糧補貼資金要在2026年2月10日前發放完畢。
三、職責分工
鎮人民政府要嚴格落實糧食安全黨政同責,結合本地實際,及時制定甘棠鎮稻谷生產者售糧補貼實施方案,督促相關單位做好稻谷補貼發放相關配合工作及糧食收購工作,并加強監督檢查。
農發行甘棠支行根據下達的收購計劃,及時足額做好資金的撥付。
賓陽縣糧食收儲有限責任公司甘棠分公司負責指導所屬企業加強稻谷入庫質量管控,統計收購進度,提出收購稻谷使用計劃建議;負責組織儲備糧源的調運、驗收、轉儲和稻谷收購補貼資金撥付管理等工作。
?四、保障措施和工作要求
(一)加強組織實施。為嚴格落實糧食安全黨政同責要求,鎮黨委和政府是稻谷補貼項目實施的責任主體,要切實加強組織領導,優化完善補貼發放和收購方案,細化實化工作措施,保障補貼發放和收購工作順利開展。糧食購銷企業要嚴把收購數量、質量關,確保農民售糧順暢和年度目標任務完成。
(二)嚴格制度執行。各村委要做好政策宣傳工作,科學制定宣傳方案,多渠道、多方式開展稻谷補貼政策宣傳,以多種方式及時公布稻谷補貼政策清單,切實提高政策知曉度。要多渠道向享受補貼的對象及時推送政策,大力推廣普及售糧預約小程序,解決農民排隊交糧難問題,不斷提高農民滿意度。按照職責分工和“誰主管、誰負責、誰公開”的原則,做好補貼信息公開公示工作,主動接受群眾監督和輿論監督。要采取各種辦法,提高群眾知曉度。并將糧食收購計劃分解任務進行張榜公示(公示要求詳見工作流程)。
(三)嚴肅財經紀律。要嚴格遵守財經紀律,在稻谷生產補貼資金申報、審核、分配、使用等環節中,不得弄虛作假、套取騙取補貼資金;不得擅自改變用途,截留挪用補貼資金;不得違反規定向不符合條件的個人、單位等分配資金,不得擅自超出規定的范圍和標準分配或使用資金。對涉及違法違紀行為的單位和個人,依法依規進行處理。
申報者必須如實填報稻谷售賣數量,確保糧食質量,對填報的數據和信息的真實性、準確性負責,對弄虛作假、以次充好、擠占、截留、挪用和套取補貼資金等違法違規行為,依法依規給予嚴肅處理。建立個人誠信記錄,騙取、挪用和套取補貼資金等行為將記入個人失信記錄。
嚴厲打擊轄區外糧食冒充本鎮糧食套取財政補貼的行為,嚴厲打擊外地被污染糧食流入我鎮進行收購的行為。糧食收購應當嚴格執行國家糧食質量安全標準。被污染糧食由縣統一按照國家、自治區有關法律法規規章政策組織開展定點收購,并按要求進行處置。
(四)嚴格資金監管。嚴格落實糧食安全黨政同責考核有關要求,稻谷補貼資金要及時足額發放到位。嚴格審批管理,遵循“誰審批、誰負責”的原則,明確補貼資金申報、審核、兌付等環節責任,確保補貼資金及時足額地兌付到實際稻谷生產者手中。要嚴格執行補貼資金專戶管理制度,目標價格補貼(稻谷)納入糧食風險基金專戶管理,與專戶內其他補貼資金分賬核算,單獨反映,不得相互混用,確保補貼資金封閉運行。實行稻谷補貼資金全部通過“一卡通”管理系統兌付,要廣泛接受群眾監督。要對補貼政策執行情況進行全面檢查督促,對發現的問題及時整改,確保補貼政策有序有效落實。鎮人民政府要對補貼政策執行情況進行全面自查,堅決杜絕虛報冒領、截留、擠占、挪用補貼資金等違規行為。
(五)強化績效管理。為切實提高財政資金使用效益,繼續將稻谷生產補貼列入耕地保護和糧食安全責任制考核等考核范圍,同時,對稻谷補貼實行預算績效管理,完善激勵約束機制。甘棠鎮對縣績效目標進行分解。各村(社區)須按照要求完成項目各項績效目標任務,強化績效運行監控,對執行中出現偏離績效目標的問題,要及時予以糾正。
?
?
附件:1.2025年稻谷補貼實施工作流程
2.甘棠鎮2025年稻谷補貼糧食收購計劃
?
附件1
2025年稻谷補貼實施工作流程
?
一、稻谷生產者售糧補貼實施工作流程
(一)糧食收購的品種、質量、收購價格和收購時間
1.收購品種、質量要求:糧食收購的品種為優質稻(含專用稻)。收購優質稻質量指標應符合國家優質稻谷標準(GB/T17891)三級以上,其中優質稻(含專用稻)谷外糙米含量指標按≤4%、優質稻直鏈淀粉指標《廣西壯族自治區糧食和物資儲備局關于調整2022年度自治區儲備優質稻谷直鏈淀粉含量(干基)指標范圍的通知》(桂糧發〔2022〕71號)相關規定執行。鑒于專用稻主要用于米粉加工用糧,質量指標按國家標準稻谷(GB1350)中等以上要求。食品安全指標均須符合國家限量標準要求。
2.收購價格:優質早稻(含專用稻)2.78元/公斤,優質晚稻3.14元/公斤。鑒于種植的優質稻品種繁多,品質差異較大,對品質較優、較差的品種,收購價格可適當浮動(上下浮動比例不超過5%,由收購企業商自治區儲備糧集團公司子公司確認,如超過5%須報自治區儲備糧集團公司審批,如超過10%須報自治區糧食和儲備局審批,下浮后的收購價格不能低于國家下達的2025年稻谷最低收購價)。優質稻收購價格由糧食收購企業報當地糧食和儲備主管部門、市場監管部門備案。
3.收購時間:2025年稻谷補貼糧食收購時間為2025年6月25日至2026年1月31日。
(二)糧食收購計劃的分解
鎮人民政府在充分考慮小農戶利益的基礎上,將糧食收購計劃直接分解到村(居)委會和種植面積50畝以上(雙季稻種植面積為25畝以上)的種糧主體、國家儲備糧源保障中心。經公示無異議后的《售糧計劃安排表》,由鎮人民政府審核蓋章,印發各村(社區),并送當地糧食和儲備主管部門、財政部門、糧食收購企業。
計劃分解的具體做法及要求由鎮人民政府在本鎮的收購方案中明確。《售糧計劃安排表》《委托售糧匯總表》由自治區儲備糧集團公司負責編制。
(三)糧食生產經營者售糧方式
糧食生產經營者對所生產的糧食按《售糧計劃安排表》自主向收購企業售糧。鑒于當前我鎮不少農村家庭缺少售糧勞動力和運輸工具等實際情況,糧食生產經營者可開展委托代售糧食服務。積極推廣應用售糧預約小程序,方便糧食生產經營者售糧,提高收購工作效率。
(四)糧食收購工作要求
1.縣糧食和儲備主管部門在所轄區企業中確定1家倉儲條件好、資信度較高、管理能力強且具備必要檢驗能力的糧食收購企業,報市糧食和儲備主管部門匯總后,上報自治區糧食和物資儲備局。在充分發揮國有糧食收儲企業的糧食收購主渠道作用前提下,允許其他所有制糧食企業參與收購。
2.鎮人民政府要加強收購工作統籌組織,積極采取措施推動我鎮稻谷補貼收購政策落實及任務完成。為確保2025年稻谷補貼糧食收購計劃完成,在糧食收購中,若因鎮糧源情況、收購進度等各種因素影響,需要調減或調增收購計劃的,由縣發展和改革局(縣糧食和物資儲備局)、縣財政局、中國農業發展銀行賓陽縣支行等部門聯合下文調整2025年稻谷補貼糧食收購計劃。
3.在糧食收購過程中,要堅持公開、公平、公正的原則。 鼓勵糧食生產經營者積極按要求自愿售糧,不能用行政等手段強迫其售糧。收購企業要嚴格按照《售糧計劃安排表》進行糧食收購,應對收購的每車(批)次稻谷進行質量安全檢驗,在收糧現場張榜公示本鎮的收購計劃以及收購質量標準、收購價格、補貼標準、收購進度、糧食流通監管熱線電話等情況,接受社會公眾監督,并在規定的區域收購當地當年生產的糧食。
4.糧食收購企業不得損害種糧農民和其他糧食主體的利益;及時向售糧者支付售糧款,不得拖欠;不得接受任何組織或者個人的委托代扣代繳任何稅、費和其他款項;不得拒收稻谷生產者按《售糧計劃安排表》自主售糧。
5.糧食生產經營者開展委托代售糧食服務過程中可以獲得相應合理的勞務費用。
(五)補貼資金兌現方式
稻谷生產者售糧補貼資金具體兌現方式。按照“誰主管、誰負責”原則,收購企業于糧食生產經營者售糧后的5個工作日內,審核開展代售糧食服務的生產經營主體是否已將代墊售糧補貼款轉入委托售糧農戶“一卡通”銀行賬戶,在“一卡通”管理系統填寫實際交售的糧食品種、數量、補貼金額等信息上報縣糧食和儲備主管部門;縣糧食和儲備主管部門于5個工作日內審核完相關信息送本級財政部門,重點審核代售糧食服務的生產經營主體墊付售糧補貼情況;在材料齊全、信息準確的情況下財政部門原則上應于3個工作日內將補貼資金從財政專戶撥付到縣發展和改革局(代發金融機構“一卡通”虛擬賬戶),縣發展和改革局應于2個工作日通過“一卡通”管理系統發放至補貼對象或代售糧食服務的生產經營主體“一卡通”銀行賬戶。
(1)糧食生產經營者自主售糧的,售糧補貼直接撥付到“一卡通”銀行賬戶。
(2)對代售糧食服務的生產經營主體,由收購企業協助提供委托售糧農戶在“一卡通”管理系統中的銀行賬戶,代售糧食服務的生產經營主體(同時為實際種糧主體)已墊付售糧補貼的,須提供委托售糧者簽字按手印確認的《委托銷售匯總表》,內容包括生產經營主體的信息、委托銷售稻谷農戶姓名及住址、售糧品種及數量、稻谷收購價格、已收售糧補貼款、農戶“一卡通”銀行賬號、聯系電話等,以及墊付售糧補貼轉入委托售糧者的“一卡通”銀行轉賬憑證,才可以通過“一卡通”管理系統申領墊付的稻谷生產者售糧補貼。除在市場監管部門注冊并在售糧補貼對象范圍內的種糧主體外,其他經營主體開展代售糧食服務時均不可申領和墊付售糧補貼。
(六)收購糧食的糧權及其他
1.糧權及用途。收購糧食的糧權歸自治區人民政府,原則上作為自治區本級儲備糧源,由自治區儲備糧集團公司組
織轉儲驗收,主要用于自治區本級儲備糧輪換和充實庫存。自治區儲備優質稻(含專用稻)由自治區儲備糧集團公司授權的子公司承儲并負責包干輪換。收購糧食的貸款利息、保管費用按自治區儲備糧管理規定執行。
2.收購糧食的調撥。自治區糧食和儲備局、發展改革委、財政廳、農發行廣西區分行根據糧食的收購及分布情況,按照合理流向原則下達收購糧食的調撥計劃。自治區儲備糧集團公司負責組織自治區本級儲備糧的調撥工作。糧食收購企業必須嚴格執行自治區下達的調撥計劃,配合做好糧食調撥工作,對拒不執行計劃、不配合調撥的單位,自治區不予撥付利息、費用補貼直至取消來年糧食收購資格。
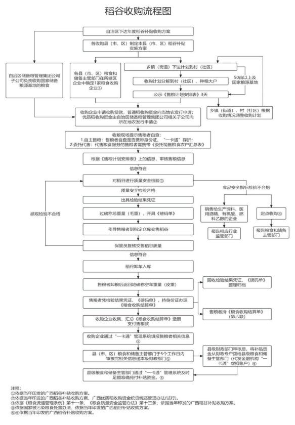
?附件:稻谷收購流程圖
附:
?
附件2
甘棠鎮2025年稻谷補貼糧食收購計劃
??????????????????????????????????????????單位:噸 、萬元
|
單位 |
收購計劃 |
補貼資金 | ||
|
合計 |
普通早秈稻 |
優質稻(含專用稻) | ||
|
合計 |
1300? |
1300 |
46.8 | |
|
社區 |
60 |
60 |
2.16 | |
|
洪信 |
40 |
40 |
1.44 | |
|
那冷 |
200 |
200 |
7.2 | |
|
那寧 |
150 |
150 |
5.4 | |
|
高棠 |
60 |
60 |
2.16 | |
|
五合 |
120 |
120 |
4.32 | |
|
八合 |
200 |
200 |
7.2 | |
|
合莊 |
40 |
40 |
1.44 | |
|
南橋 |
100 |
100 |
3.6 | |
|
新寧 |
200 |
200 |
7.2 | |
|
旺龍 |
130 |
130 |
4.68 | |
?



打印